[KẾT QUẢ THI TỐT NGHIỆP THPT NĂM HỌC 2022 - 2023]

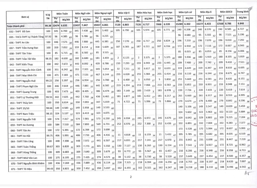
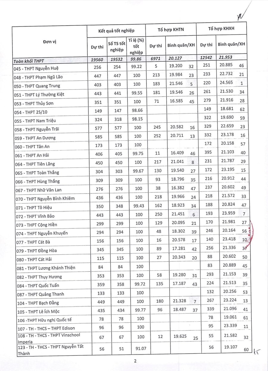
Trong kỳ thi tốt nghiệp THPT năm học 2022 - 2023, trường THPT Quang Trung đã xuất sắc XẾP THỨ 7 THÀNH PHỐ, tiếp tục dẫn đầu các trường THPT của huyện Thủy Nguyên với 6/9 môn thi xếp trong top 5 thành phố, cụ thể:

Môn Ngữ Văn, Lịch sử, GDCD: xếp thứ 1 thành phố.

Môn Địa lý: xếp thứ 3 thành phố.

Môn Hóa học, Sinh học: xếp thứ 5 thành phố.
Tổ hợp KHTN (Lý + Hóa + Sinh): xếp thứ 5 thành phố.

Tổ hợp KHXH (Sử + Địa + GDCD): xếp thứ 1 thành phố.

Xin
chúc mừng
kết quả của nhà trường và các em học sinh K56.